
Datenbasierte Planung für messbare Resultate vor dem ersten Handgriff
Fundierte Berechnungen als Basis für jede Investitionsentscheidung.
Gute Isolierung beginnt am Reissbrett
Wir liefern Ihnen die technischen Kennzahlen, bevor das erste Stück Blech zugeschnitten wird. So erhalten Sie Planungssicherheit und eine transparente Entscheidungsgrundlage für Ihre Dämmvorhaben.
Das Engineering umfasst Wärme- und Kälteverlustberechnungen, die Ermittlung von CO2- und Kosteneinsparungen, Amortisations- und ROI-Analysen sowie die Erstellung von Leistungsverzeichnissen und CAD-Planungen. Wir beraten Sie bei Neubauprojekten ebenso wie bei der Optimierung bestehender Anlagen und liefern die Daten, die Sie für fundierte Investitionsentscheidungen benötigen.

Technische Grundlagen
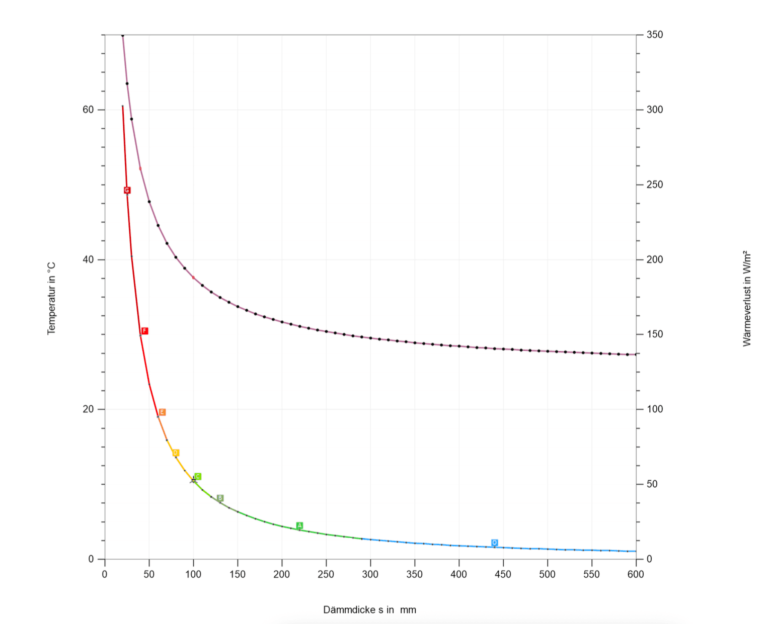
Die Wärmeverlustberechnung nach VDI 2055 ermittelt den Wärmestrom, der durch eine Dämmschicht fliesst. Eingangsgrössen sind die Betriebstemperatur, die Umgebungstemperatur, die Geometrie des Objekts (Rohr, ebene Wand, Behälter), die Wärmeleitfähigkeit des Dämmstoffs und die Schichtdicke. Das Ergebnis wird als Wärmeverlust pro Laufmeter (bei Rohren) oder pro Quadratmeter (bei Flächen) angegeben.
Aus dem berechneten Wärmeverlust leiten wir die jährlichen Energiekosten ab. Die Differenz zwischen dem ungedämmten und dem gedämmten Zustand ergibt die jährliche Einsparung. In Verbindung mit den Investitionskosten für die Dämmung können wir die Amortisationszeit und den Return on Investment (ROI) berechnen. Bei der wirtschaftlichen Optimierung ermitteln wir diejenige Dämmstärke, bei der die Summe aus Dämmkosten und verbleibenden Energiekosten minimal ist.
Anwendungsbereiche im Detail

Neubauprojekte
Bei der Planung neuer Anlagen erstellen wir das Dämmkonzept parallel zur verfahrenstechnischen Planung. Wir berechnen optimale Dämmdicken und Materialien schon in der Planungsphase, definieren Ausführungsdetails und liefern die Spezifikationen für Ausschreibung und Vergabe. Die frühzeitige Einbindung vermeidet Nachbesserungen und optimiert die Gesamtkosten.
Sanierung und Nachrüstung
Bei bestehenden Anlagen führen wir eine Bestandsaufnahme durch und identifizieren Optimierungspotenziale. Wir berechnen die Einsparungen durch verbesserte oder nachgerüstete Dämmungen und priorisieren die Massnahmen nach ihrer Wirtschaftlichkeit. So können Sie Ihr Budget gezielt dort einsetzen, wo es den grössten Effekt hat.
Energieaudits und CO2-Bilanzierung
Im Rahmen von Energieaudits (z. B. nach ISO 50001) ermitteln wir systematisch die thermischen Verluste Ihrer Anlage. Die Berechnung der Emissionsminderung durch verbesserte Isolierung dient als Nachweis für Nachhaltigkeitsberichte oder Förderanträge. Die Ergebnisse werden in einem Bericht dokumentiert, der konkrete Massnahmen mit Kostenabschätzung und Einsparpotenzial enthält.
Ausschreibungsunterlagen
Wir erstellen detaillierte technische Spezifikationen und vollständige Leistungsverzeichnisse (LV) für Dämmarbeiten mit allen erforderlichen Positionen, Mengen, Materialspezifikationen und Ausführungsdetails. Diese Unterlagen bilden die Grundlage für eine transparente Angebotserstellung und Vergabe bei Grossprojekten.
Wirtschaftlichkeit
Engineering verhindert teure Fehlplanungen. Durch die präzise Auslegung der Dämmdicken wird nur so viel Material wie nötig eingesetzt, während gleichzeitig die maximale Energieeinsparung erzielt wird. Eine fundierte Berechnung stellt sicher, dass Sie weder zu wenig (unzureichende Dämmwirkung, hohe Energiekosten) noch zu viel (überdimensionierte Dämmung, unnötige Materialkosten) investieren.
Kunden, die auf unser Engineering setzen, erzielen oft eine um 15 bis 20 Prozent höhere Effizienz im Vergleich zu Standardlösungen ohne Vorberechnung. Die wirtschaftlich optimale Dämmstärke liegt typischerweise 10 bis 20 Prozent über der normativen Mindestanforderung.
Fragen zum Engineering
Hier finden Sie Antworten auf häufige Fragen rund um Berechnungen, Planung und Fördergelder.
Wir benötigen die Mediumtemperatur, den Rohrdurchmesser, das Material, die Umgebungstemperatur und die jährlichen Betriebsstunden. Bei bestehenden Anlagen können wir diese Daten auch vor Ort aufnehmen. Falls vorhanden, sind R&I-Fliessbilder oder CAD-Daten hilfreich.
In modernen Anlagen sind die Margen für Energieeffizienz gering. Eine Überdimensionierung kostet unnötig Geld, eine Unterdimensionierung führt zu Kondensat, Sicherheitsrisiken oder nicht eingehaltenen Normanforderungen. Nur eine Berechnung gibt Ihnen Rechtssicherheit und zeigt die tatsächliche Amortisationszeit.
Ja, unsere technischen Berechnungen dienen oft als anerkannte Basis für Förderprogramme zur Steigerung der Energieeffizienz in der Industrie (z. B. ProKilowatt). Die CO2-Bilanzierung und Wirtschaftlichkeitsanalysen liefern die erforderlichen Nachweise.
Ja, wir führen Energieaudits und Bestandsaufnahmen an Altanlagen durch, bei denen wir den aktuellen Zustand der Dämmung dokumentieren, Wärmeverluste berechnen und Optimierungspotenziale identifizieren. Bei grossen Anlagen unterstützt eine Thermographie-Untersuchung die Identifikation von Schwachstellen. Wir zeigen Ihnen detailliert auf, an welchen Stellen eine Nachrüstung wirtschaftlich am sinnvollsten ist.
Verwandte Dienstleistungen
Bereit für Ihre nächste Herausforderung?
Kontaktieren Sie uns für eine unverbindliche Beratung. Wir freuen uns darauf, Ihr Projekt zu besprechen.